Parcelas de caixa
As convenções aqui descritas aplicam-se a qualquer gráfico de caixa na BQN GUI (em QoE de assinante, painel de assinantes, página de grupos de assinantes, painel de grupos de assinantes, velocidades de aplicações do sistema, latências de aplicações do sistema, etc.).
Um gráfico de caixa é um resumo da distribuição de um conjunto de valores. Mostra os valores máximos e mínimos e aquilo a que chamamos percentis. Um percentil é um valor que é igual ou superior a uma determinada percentagem do conjunto de valores. Por exemplo, um percentil de 50% é o valor que separa a metade inferior e a metade superior do conjunto de valores e também é conhecido como mediana. Um percentil de 10% tem 10% do conjunto de valores abaixo dele, e assim por diante. Os nossos gráficos de caixa fornecem os percentis 10, 25, 50, 75 e 90%.
Por exemplo, num gráfico de caixa de velocidades, um percentil 25 de 30,4 Mbps indica que 25% das velocidades registadas são inferiores a 30,4 Mbps (e, por conseguinte, 75% são maiores).
A figura seguinte mostra tudo isto graficamente:

Deve ter reparado que o gráfico de caixa é colorido. Isto é feito para realçar os quatro quartis:
- 1º quartil: percentis de 0 a 25%. Vermelho.
- 2º quartil: percentis de 25% a 50%. Laranja.
- 3º quartil: percentis de 50% a 75%. Verde.
- 4º quartil: percentis de 75% a 100%. Azul.
Assim, o1º quartil é o 25% inferior dos valores e o4º quartil é o 25% superior dos valores.
Assinante Dashboad
O painel de controlo do assinante inclui um conjunto muito completo de informações úteis sobre o desempenho atual e passado do assinante. É o local ideal para analisar e diagnosticar os problemas comunicados no acesso aos dados do assinante.
Pode ser alcançado clicando no ID do subscritor ou no endereço IP do subscritor em qualquer uma das seguintes janelas:
- Status->Subscritores
- Status->Flows->Por Assinante
- Status->RADIUS/REST/Billing->Subscriptores
O painel de bordo do assinante contém muita informação, por isso use a barra de deslocamento do lado direito para navegar através dele.

O painel de bordo contém as seguintes informações:
- Parâmetros da sessão principal do assinante (incluindo a taxa e as políticas de monitorização aplicadas, IP e ID do assinante, etc.). Clique em Detalhes adicionais para ver mais informações. Clique em View Subscriber Groups (Ver grupos de assinantes ) para abrir a lista de grupos dos quais este assinante é membro. As métricas do assinante podem ser comparadas com as dos grupos, para avaliar se a QoE está dentro dos valores normais.
- Ícones de marcação com um resumo das métricas mais recentes.
- Gráficos com a evolução ao longo do tempo das principais métricas dos subscritores:
- Velocidades média e máxima
- Latências
- Retransmissões de pacotes (perdas)
- Tráfego em alta velocidade, sofrendo congestionamentos e limitado pela ACM
- Número de fluxos (criados por minuto e ativos).
- Gráficos com latência, retransmissão e congestionamento versus a velocidade média.
- Gráfico com a utilização da aplicação ao longo do tempo.
- Velocidades do fluxo de aplicações e sua evolução ao longo do tempo.
- Distribuição das latências da Internet por aplicação e sua evolução ao longo do tempo.
- Tabela com os fluxos activos do assinante. A política de fluxo é fornecida (clique no nome da política para ir para a definição da política). Se disponível, também mostra o domínio DPI (coluna DOMAIN) e a categoriaDPI do fluxo (coluna DPI).
Modo em direto
Para monitorizar o subscritor mais de perto, coloque o interrutor do modo Em direto em Ligado. Aparecerão gráficos com a evolução atual das principais métricas. É apresentada uma tabela de fluxos, incluindo a composição do DPI. Pode ser apresentado um período de tempo máximo (último número de minutos). Este é configurável para 2, 5 ou 10 minutos, utilizando o seletor junto ao interrutor do modo Em direto. Quando o intervalo de tempo for atingido, por exemplo, após 5 minutos, os gráficos continuarão a ser actualizados, mostrando a janela dos últimos cinco minutos. Pode fazer uma pausa e retomar o modo em direto para analisar melhor a informação.

Uma tabela de fluxos também será incluída e será continuamente actualizada. Os fluxos são ordenados na tabela com os fluxos activos em primeiro lugar e, entre eles, os fluxos mais rápidos. São apresentadas as categorias e os domínios DPI. As velocidades não nulas são destacadas a azul para facilitar a identificação dos fluxos activos. É possível exibir os gráficos de vida com mais espaço vertical clicando no ícone Layout ↕.
Nota: as informações de DPI em direto podem não estar disponíveis em determinados países devido a restrições à exportação.
Grupos de assinantes
O gráfico seguinte é o resultado de premir o botão View Subscriber Groups (Ver grupos de subscritores). Mostra estes grupos de subscritores e compara os grupos com as métricas dos subscritores:

Métricas históricas

Os gráficos anteriores mostram a evolução ao longo do tempo da velocidade média e máxima, da latência de acesso e das retransmissões. Para a latência de acesso e as retransmissões, a média dos grupos de assinantes e da rede global também é incluída como referência, para determinar se o assinante está abaixo ou acima da qualidade média. As latências são medidas de três maneiras: como uma média dos valores mínimos (média-mínima), como uma mediana e como um percentil 80 (valor superior a 80% das amostras de latência).
Os gráficos seguintes contêm informações sobre o tráfego próximo da velocidade máxima e em congestionamento, bem como sobre os fluxos activos e os fluxos criados por minuto.

Três gráficos de dispersão mostram a possível correlação entre a velocidade e as medições de latência, perdas e congestionamento. Por exemplo, no gráfico velocidade vs latência, um ponto é um par velocidade-latência medido ao mesmo tempo. Uma linha vermelha mostra a possível correlação entre os dois (a linha que melhor se ajusta aos pontos).

Se as métricas ultrapassarem os valores limite de aviso configurados na página de métricas de QoE, a área do gráfico é destacada. Os gráficos com destaque de aviso são: latência média-mínima ao longo do tempo, retransmissões ao longo do tempo, latência média-mínima vs velocidade, retransmissão vs velocidade e congestionamento vs velocidade. A captura de ecrã seguinte mostra um exemplo:

Para ocultar o destaque, desative a opção Limiar de aviso de colorização.
Métricas de aplicação
Esta secção apresenta uma amostra da utilização dos assinantes para as aplicações com maior utilização.
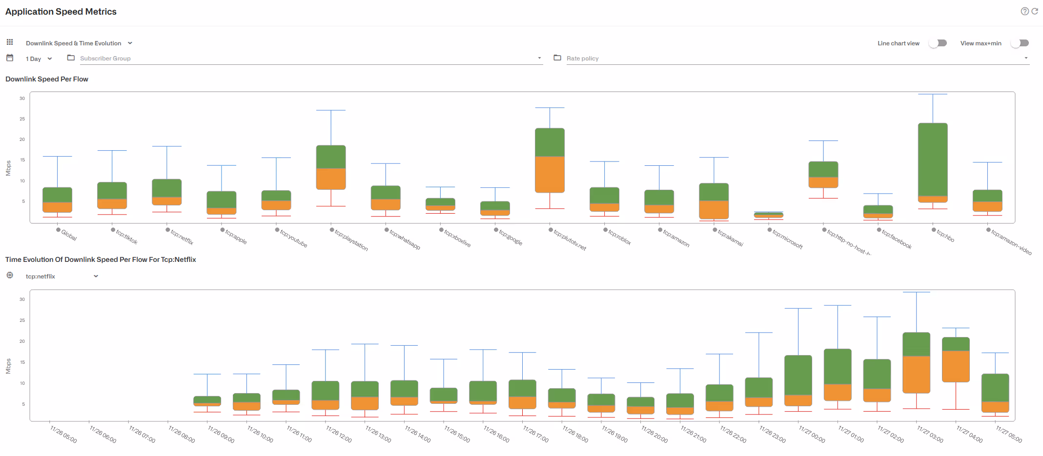
O primeiro gráfico é a evolução temporal da utilização da aplicação:

São também incluídas as velocidades médias do fluxo e a sua evolução ao longo do tempo. Um gráfico de caixa resume a distribuição da velocidade: percentis 10, 25, 50 (também conhecido como mediana), 75 e 90. Os valores mínimos e máximos, ocultos por predefinição, também podem ser mostrados activando a opção Ver max+min.

Além disso, são apresentadas as distribuições de latência das aplicações, bem como a sua evolução ao longo do tempo. As latências são medidas entre o BQN e o servidor de aplicações através da Internet.

Nota: As informações sobre DPI podem não estar disponíveis em determinados países devido a restrições à exportação.
Fluxos activos
Uma tabela na parte inferior do painel de controlo dos assinantes contém os principais fluxos activos por tamanho. A tabela pode ser exportada para um ficheiro CSV. Utilize o ícone de atualização para atualizar a tabela (ou aceda ao modo Em direto para obter uma lista de fluxos actualizada automaticamente).

Nota: As informações sobre DPI podem não estar disponíveis em determinados países devido a restrições à exportação.
Identificador de assinante (ID)
Para facilitar a identificação de uma sessão de subscritores, é suportado um campo de identificação de subscritores. O ID de subscritor pode ser utilizado ao solicitar métricas, para obter informação histórica mesmo quando o subscritor mudou de endereço IP ao longo do tempo.
Existem várias fontes possíveis para a identificação do subscritor:
- Endereço de acesso MAC (esta é a predefinição). Em algumas redes, o endereço MAC pode ser o mesmo para todos os assinantes (por exemplo, se todo o tráfego vier da mesma porta do router), mas noutras redes, pode identificar os pontos de acesso dos assinantes.
- Endereço IP de acesso do assinante. Para configurar o endereço IP para preencher o ID de assinante, vá a Administração->Configurações gerais->Fonte de ID de assinante predefinida.
- Um sistema externo: o sistema externo pode utilizar a API REST do BQN, RADIUS ou um dos nossos sistemas de facturação.
Métricas de QoE do Assinante
Status->Subscritores dá acesso à lista de subscritores activos juntamente com as suas métricas (se o subscritor de interesse não estiver listado, escreva o endereço IP no campo do filtro).
Estão disponíveis os seguintes gráficos de métricas:
- Velocidade média
- Velocidade máxima
- Latência-P80: percentil80 da latência de acesso.
- Latência mediana: valor mediano da latência de acesso.
- Latência-Média-Mín.: média dos valores mínimos de latência de acesso.
- Retransmissões
- Fluxos activos
- Fluxos criados por minuto
- Percentagem de tráfego à velocidade máxima
- Percentagem de tráfego com congestionamento
Métricas ao longo do tempo
Na parte superior da página, existem alguns seletores que afetam as informações apresentadas:
- Carregadas todas as entradas de assinantes. O valor predefinido é 100 000, das quais são apresentadas as primeiras 25 (aquelas com maior consumo de tráfego). Pode aumentar este número até 1 000 000.
- Direção da medição (downlink ou uplink). Por exemplo, a latência de downlink é a latência na rede de acesso e a latência de uplink é a latência no lado da Internet.
- Filtro de política: seleciona assinantes com uma política de tarifas específica.
- Filtro de grupo: seleciona os assinantes que pertencem a um grupo específico.
- Filtro de endereços IP: pode introduzir um endereço IP específico (v4 ou v6) ou um intervalo de endereços IP (utilizando /máscara).
- Limite de aviso MEAN-Mbps: este campo está relacionado com os limites de aviso e será explicado nessa secção.
- Seletor de intervalo de tempo: mostra as últimas 24 horas (predefinição), até 3 meses.
- Seletor de endereço IP ou ID de assinante: por predefinição, os assinantes são identificados pelos seus endereços IP, mas também é possível apresentá-los pelo identificador de assinante (os identificadores de assinante são atribuídos aos endereços IP pelo RADIUS, pelo sistema de faturação ou pela API REST).
- Seletor de métricas: as métricas a apresentar. A velocidade média é a selecionada por predefinição.

A evolução ao longo do tempo da métrica selecionada é apresentada num gráfico de linhas.
Clicar com o botão direito do rato num IP ou ID da legenda do gráfico conduzirá ao painel de controlo desse assinante.
O intervalo de valores visível pode ser ajustado arrastando os valores máximo e mínimo para a esquerda do gráfico:

Mapas de calor e gráficos de caixa
Para facilitar a análise das métricas, apresentamo-las também sob a forma de mapas de calor e gráficos de caixa.

O mapa de calor representa uma escala de intensidade de cor que reflete o intervalo da métrica. Esta escala é apresentada à esquerda do gráfico da métrica. Quanto maior for o valor, maior será a intensidade da cor. Cada assinante tem uma linha que mostra a evolução da métrica ao longo do tempo. Clique na linha para desmarcar esse assinante ou para aceder ao painel de controlo do assinante.

A coluna «MÉDIA», à esquerda do mapa de calor, mostra o valor médio da métrica, para cada assinante, durante o período de tempo selecionado. Os assinantes podem ser ordenados por esse valor médio, por ordem crescente ou decrescente.
A escala de cores é ajustável. Ao arrastar os valores mínimo e máximo no gráfico de evolução temporal, a gama de cores será centrada nesse intervalo métrico, deixando os valores abaixo e acima representados em cores mais claras e mais escuras, respetivamente. Isto ajuda a centrar a análise, ampliando esse intervalo métrico. O valor MÉDIO será ajustado ao intervalo selecionado, sendo os valores fora desse intervalo arredondados para os limites do intervalo.
Ao passar o rato sobre uma célula do mapa de calor, é exibida a hora exata e o valor correspondentes.

No gráfico de caixa, é possível ver a distribuição das métricas de cada assinante durante esse período. Pode adicionar os valores mínimo e máximo e, para facilitar a comparação entre assinantes, mudar do gráfico de caixa para gráficos de linhas.

Gráficos de caixa da QoE global

Cinco gráficos de caixa resumem a distribuição das seguintes métricas-chave entre todos os assinantes:
- MAX-Mbps: velocidade máxima em Mbps.
- RTT-ms: latência de acesso em milissegundos (valor médio-mínimo).
- RTX: taxa de perda de pacotes em percentagem.
- MAX-SPEED: percentagem de tempo em que o assinante está a uma velocidade próxima da velocidade máxima.
- CONGESTIONAMENTO: percentagem do tráfego que sofre de congestionamento.
Cada gráfico de caixa apresenta os valores máximo e mínimo, bem como os percentis intermédios, incluindo a mediana (MED).
Um limiar configurável ajuda a identificar métricas cujos valores são tão elevados que podem causar problemas na qualidade da experiência do cliente. Por exemplo, se o limiar de RTx for definido em 1%, o gráfico de caixa irá sombrear a vermelho todos os valores entre 1% e o máximo. Para alterar o limiar, clique no seu valor e utilize a caixa de diálogo para efetuar a alteração.

Em vez de destacar a vermelho os valores acima do limiar de aviso, é possível destacar os quatro quartis por cor. Ative a opção«Colorize» no canto superior direito.

Note que, com exceção do MAX-Mbps, a convenção é o oposto da utilizada noutros gráficos de caixa (1.º quartil a azul, 4.º quartila vermelho), uma vez que, no caso das métricas de QoE, quanto mais baixo for o valor, melhor (por exemplo, menor latência ou rtx).
Tabela de subscritores activos
Uma tabela contém informações detalhadas sobre todos os assinantes ativos.

As informações fornecidas no quadro são as seguintes:
- BQN: identificador do servidor BQN onde o assinante se encontra.
- ADDR: endereço IP do assinante.
- SUBSCRIBER-ID: identificador do assinante. Por predefinição, é o endereço MAC. Pode ser preenchido utilizando informações de sistemas externos (consulte as secções RADIUS, Faturação e API REST).
- BLOQUEIO: se o assinante está sujeito a algum bloqueio. Normalmente, o bloqueio significa que o tráfego do assinante é completamente bloqueado, mas existem outras possibilidades: bloqueio com redirecionamentos e bloqueio que retarda o tráfego em vez de o interromper completamente. Um assinante pode ser bloqueado por vários motivos: esgotamento da quota, uma política de taxa de bloqueio, estado de faturação, etc. Encontram-se mais informações na secção «Bloqueio de assinantes ».
- RATE-POLICY: nome da política de tarifas aplicada a este assinante.
- MBYTES: volume total de tráfego desta sessão do assinante nesta direção (downlink ou uplink), desde o início da sessão (ver LIFETIME para a duração da sessão até ao momento).
- FLOWS: número total de fluxos de tráfego atualmente activos (principalmente ligações TCP e fluxos UDP) deste assinante. Ativo significa que o fluxo está a trocar tráfego.
- CURR-Mbps: velocidade atual em Mbps (calculada a cada segundo).
- MEAN-Mbps: média móvel das velocidades dos assinantes calculada em intervalos de dez minutos.
- MAX-Mbps: velocidade máxima em Mbps nas últimas 24 horas. A cada dez minutos, é registada a velocidade máxima atual. Consideramos o valor máximo entre esses registos para um período de 24 horas (ou a duração da sessão, se for inferior a 24 horas).
- RTT-ms: média móvel das latências calculadas em intervalos de dez minutos. Se as métricas apresentadas forem relativas à direção de descida, esta latência corresponde à latência de acesso entre o BQN e os assinantes. Se for apresentada a direção de subida, a latência corresponderá à distância entre o BQN e os servidores da Internet.
- RTX: média móvel da perda de pacotes calculada em intervalos de dez minutos. A perda de pacotes é obtida a partir das percentagens de retransmissão TCP. Se as métricas apresentadas se referirem à direção de descida, esta perda corresponde à perda entre o BQN e os assinantes. Se for apresentada a direção de subida, a perda corresponderá à perda entre o BQN e os servidores da Internet.
- MAX-SPEED-%: média móvel da percentagem de tempo em que o assinante se encontra a uma velocidade próxima da velocidade máxima. Esta percentagem é calculada a cada dez minutos.
- CONGESTIONAMENTO: média móvel da percentagem do volume de tráfego que sofre congestionamento. Esta percentagem é medida de dez em dez minutos.
- AVISO: número de medições acima do limiar de aviso. Tenha em conta que os assinantes com uma velocidade média inferior ao limiar de aviso MEAN-Mbps não serão assinalados com um aviso. Isto tem como objetivo evitar valores atípicos provenientes de ligações com muito pouca utilização.
- LIFETIME: duração até ao momento desta sessão de subscritor.
- Últua coluna: assinale esta caixa se pretender que estas métricas de assinantes sejam apresentadas nos gráficos.
Ao clicar no endereço IP ou no ID do assinante, acede-se ao painel de controlo do assinante.
A tabela pode ser ordenada por qualquer coluna clicando na mesma; por exemplo, clique em «RTT-ms» para apresentar primeiro os assinantes com maior latência.
Pode utilizar filtros para selecionar assinantes que cumpram determinados critérios, como, por exemplo, ter latências dentro de um determinado intervalo (consulte «Filtros de colunas da tabela» para obter mais detalhes). A caixa de pesquisa também pode ser utilizada para selecionar linhas que correspondam a um valor em qualquer coluna. Os assinantes filtrados na tabela serão refletidos nos restantes gráficos da página.
É possível exportar o conteúdo da tabela para um ficheiro CSV.
Pode selecionar os primeiros 25 assinantes por predefinição ou desmarcá-los clicando nos botões «Selecionar tudo para incluir» e «Desmarcar tudo para incluir», respetivamente.
Também pode representar graficamente assinantes individuais, até um máximo de 50, selecionando a caixa de seleção na última coluna da tabela e aguardando alguns segundos. Ao desmarcar a caixa de seleção, esse assinante será removido do gráfico.

Na tabela, os valores acima do limiar de aviso serão destacados a vermelho, para que os clientes afetados possam ser facilmente identificados. A coluna WARN na tabela de métricas apresenta uma pontuação correspondente ao número de métricas acima do seu limiar de aviso. Ao ordenar a tabela de forma a apresentar primeiro os valores WARN mais elevados, serão exibidos os assinantes com os problemas de QoE mais graves.
Para evitar destacar assinantes que estão simplesmente inativos, é aplicado um limiar à velocidade média (limiar de aviso MEAN-Mbps, na parte superior da página). Se um cliente não atingir, pelo menos, essa velocidade média, não receberá uma pontuação de aviso e não será destacado. O limiar pode ser alterado, mas, em geral, isso não é necessário.
Top Assinantes por Utilização
A entrada de menu Statistics->Subscribers Analysis->Hourly Volume exibe os assinantes com o maior consumo de tráfego ao longo do tempo. A utilização pode ser mostrada por endereço IP ou por ID de Subscritores utilizando a selecção apropriada. O exemplo seguinte mostra a utilização por IP-Addr:

Pode aceder a uma página do painel de controlo do assinante clicando com o botão direito do rato no endereço IP ou no ID do assinante na legenda do gráfico.
As Estatísticas->Análise de Subscritores->Volume Total mostra o total no período que está a ser considerado. O exemplo seguinte mostra a utilização por ID de subscritor:

Pode aceder a uma página do painel de controlo do assinante clicando no endereço IP ou no ID do assinante no gráfico circular.
Também é possível exportar para um ficheiro CVS com a utilização de um máximo de 500 assinantes de topo.
Tráfego e Assinantes por Política
Statistics->Subscribers->Per Policy mostra a divisão dos subscritores nas diferentes políticas de tarifas.

Statistics->Subscribers->Per Policy mostra a divisão do volume de tráfego nas diferentes políticas de tarifas:

Estatísticas->Subscritores->Por política também pode mostrar a divisão do volume de tráfego nas diferentes políticas de fluxo:

Tráfego por aplicação
Em Statistics->DPI Analysis (Estatísticas->AnáliseDPI ) há informações sobre a composição do tráfego.
O BQN mostra a composição global do tráfego por serviço em Estatísticas->Análise DPI->Volume Total por Aplicação.

A evolução horária pode ser obtida em Estatísticas->AnáliseDPI->Volume horário por aplicação.

por padrão, todas as amostras DPI são consideradas pelos relatórios(Todos os UDRs), tanto as amostras geradas automaticamente pelo BQN como as geradas pelas políticas de monitorização. Se as políticas de monitorização gerarem tantas amostras que possam causar um enviesamento no relatório, essas amostras podem ser excluídas, seleccionando Only auto UDRs. Este poderá ser o caso se vários subscritores tiverem uma política de monitorização que gere UDRs para todo o seu tráfego e os torne sobre-representados na mistura de amostras de tráfego.
Latência por aplicação
Para ver a latência por aplicação, vá para Statistics->DPI Analysis->Latency per Application.
Um histograma de distribuição mostra como as latências estão distribuídas em cada uma das principais aplicações. O histograma mostra a percentagem de medições que caem em intervalos da gama de valores de latência. À esquerda, perto da etiqueta da aplicação, pode encontrar o seu valor médio de latência.

Abaixo, a evolução ao longo do tempo dessas latências da Internet é apresentada sob a forma de gráficos de caixa. Selecione a categoria a mostrar no menu de opções sob o título do gráfico.

Por defeito, os valores mínimos e máximos não são incluídos para concentrar a análise nos valores mais comuns (mais de 10% das amostras e menos de 90%). Pode incluir valores mínimos e máximos activando Ver máx+mín.

Também é possível mudar para uma vista de gráfico de linhas, para acompanhar melhor a forma como os percentis mudam ao longo do tempo:

A análise da latência por aplicação pode ser ainda mais refinada filtrando por assinante (identificado por endereço IP/intervalo ou por ID de assinante), e/ou por um endereço IP/intervalo do lado da Internet. Os exemplos a seguir filtram por endereço IP da Internet:

Velocidades por aplicação
Esta página está em Estatísticas->Análise de DPI->Métricas de velocidade do aplicativo.

Na evolução do tempo, é possível selecionar a aplicação a inspecionar.
Para comparar métricas obtidas em condições mais homogéneas, porque os assinantes têm o mesmo plano tarifário ou pertencem ao mesmo grupo, as métricas podem ser restringidas a alguns grupos de assinantes e/ou políticas tarifárias.
Também estão disponíveis velocidades de ligação ascendente e evolução:

Para além dos gráficos de caixa, uma vista de gráfico de linhas apresenta as métricas como linhas, com a possibilidade de anular a seleção de valores de menor interesse (por exemplo, valores máximos)...
Assinantes principais por aplicação
É possível identificar os principais subscritores de uma determinada aplicação, tanto os IDs ou endereços dos subscritores (IPs do lado do acesso) como os endereços dos servidores de conteúdos na Internet.
Em Estatísticas->Análise de DPI->Volume Total por Aplicação, clique no sector da aplicação cujos IPs principais pretende visualizar. Um histograma dos principais endereços IP será mostrado, com os endereços IP do servidor na parte superior e os endereços dos assinantes na parte inferior. O histograma mostra a percentagem do volume total da aplicação desse endereço IP.
Também é possível mostrar as identificações dos assinantes de topo utilizando o selector na parte inferior da página.

Os endereços são clicáveis: os IPs do servidor conduzirão à distribuição da latência para esse IP do servidor e os IPs ou IDs dos assinantes irão para o painel de controlo dos assinantes.
Para obter um ficheiro CVS com as percentagens dos volumes do servidor ou dos assinantes, clique no ícone Exportar.
Métricas Globais de Tráfego
Taxa de transferência
Statistics->Throughput->Overview mostra a evolução temporal do tráfego total, somando as duas direcções e todos os wires.

Statistics->Throughput->Protocols mostra a evolução temporal da taxa de transferência de tráfego, discriminada por:
- Direcção: ligação descendente (DN) e ligação ascendente (UP).
- Versão IP: IPV4, IPV6 ou Sem IP.
- L4 Tipo de protocolo: TCP, UDP ou outro protocolo IP.
- Contornar o tráfego.

A evolução ao longo do tempo por interface de rede está disponível em Statistics->Throughput->Interfaces.

É possível verificar quanto tráfego está a ser processado de acordo com cada uma das políticas configuradas. Para políticas de Fluxos de Subscritores , pode ser verificado em Statistics->Throughput->Subscriber Flows Policies e de forma semelhante para Subscriber Rate Policies e Subscriber Monitoring Policies.
Latências
O gráfico em Estatísticas->Sistema->Latências mostra o RTT de acesso (ou seja, o tempo de ida e volta entre o servidor BQN e os assinantes na rede de acesso). O RTT de acesso também é conhecido como latência de downlink.

As amostras de latência são calculadas para todos os fluxos ativos (aqueles que transportam dados) a cada segundo. Essas amostras são agrupadas em intervalos de cinco minutos para gerar um valor de latência para esse período. Com base nessas amostras de latência, são fornecidos três valores:
- Média-Mínimo: para cada fluxo, tomamos a amostra de latência mínima ao longo do intervalo de cinco minutos e calculamos a média entre todos os fluxos.
- P50-Mediana: tomamos o valor mediano (o percentil 50) das amostras de latência, ou seja, a latência que separa a metade inferior da metade superior dos valores. Por exemplo, se a mediana for 2,5 ms, metade das latências será de 2,5 ms ou menos.
- P80-80º percentil: tomamos o 80º percentil, ou seja, o valor que é superior a 80% das amostras (e inferior aos 20% mais elevados). Por exemplo, se o p80 for 5 ms, 80% das latências são 5 ms ou menos.
Retransmissões
Além disso, Statistics->System->Retransmissions mostra a percentagem média de retransmissões na rede de acesso:

Fluxos
Para ver o número de fluxos por política e por protocolo, clicar em Statistics->Flow->Per Policy e Statistics->Flow->Per Protocol respectivamente.

Também pode ver o número instantâneo de fluxos por protocolo em Status->Flows->Por Protocolo e por subscritor em Status->Flows->Por subscritor.

Débito em direto dos assinantes principais
Vá a Status->Subscribers->Live Throughput para ver em tempo real o débito dos maiores subscritores por volume de utilização:

Os subscritores são apresentados por endereço IP (predefinição) ou por ID de subscritor. Utilize o seletor no canto superior esquerdo para escolher qual deles utilizar.
Um quadro do lado direito mostra as velocidades médias e actuais dos principais assinantes.
No botão, pode ver a latência da rede e as retransmissões, juntamente com os assinantes selecionados na tabela.
Para as latências, mostramos a média em minutos, a mediana e o percentil80.
Desativar o modo em direto para parar o gráfico em direto.
DoS
O BQN detecta ataques de Negação de Serviço. Para o fazer, os limiares de DoS devem ser configurados em Configuração->DoS:
- Taxa de apertos de mão falhados Downlink. SYNs por segundo sem uma resposta na direcção dos assinantes (inicializados a partir da Internet). Um valor típico é 50.
- Taxa de apertos de mão falhados. SYNs por segundo sem uma resposta inicializada por um assinante. Um valor típico é 50.
- Taxa mínima. Taxa mínima de velocidade que pode ser considerada um ataque volumétrico. O valor exacto depende da velocidade da rede, mas um valor típico é de 50 Mbps.
- Multiplicador da política de taxas de assinantes. Se o assinante tiver uma política de taxas conhecida, um limiar é definido como multiplicador *limite de descida do link. Um multiplicador típico é 3. Por exemplo, um assinante com um plano de 20Mbps terá um limite DoS de 3*20=60Mbps.

Os eventos do DoS são mostrados em Statistics->DoS Attacks. Em DoS Attacks Over Time, os eventos de ataque DoS são mostrados mostrando o seu tipo, a sua duração e parâmetros tais como o IP do subscritor afectado e o IP principal que contribui para o ataque.

Em Detalhes de ataques DoS são listados todos os eventos DoS, com informações sobre a hora, o tipo de evento, o endereço IP afetado, a direção do ataque (entrada ou saída) e a sua duração. Em Ataques SYN podem ser encontrados ataques do tipo SYN, com o número de SYN falhados e a sua taxa por segundo. Em Volume Attacks há uma lista de ataques volumétricos, com informações do volume de tráfego e sua taxa média.
Métricas de QoE do grupo de assinantes
Para ver as métricas por grupo de subscritores, vá a Status->Subscribers->Subscriber Groups (também acessível a partir de Statistics->Subscribers->Subscriber Groups).
Estão disponíveis os seguintes gráficos de métricas:
- Velocidade média
- Fluxos activos
- Subscritores activos
- Fluxos criados por minuto
- Latência-P80:o 80.º percentil da latência de acesso.
- Latência mediana: valor mediano da latência de acesso.
- Latência-Média-Mín.: média dos valores mínimos de latência de acesso.
- Retransmissões
- Percentagem de tráfego com congestionamento
A velocidade média está selecionada por predefinição
Na parte superior da página, existem alguns seletores que afetam as informações apresentadas:
- Direção da medição (ligação descendente ou ascendente). Por exemplo, a latência da ligação descendente é a latência na rede de acesso e a latência da ligação ascendente é a latência do lado da Internet.
- Filtro de endereços IP: pode introduzir um endereço IP específico (v4 ou v6) ou um intervalo de endereços IP (utilizando /máscara) para mostrar apenas os grupos dos quais esses endereços fazem parte.
- Filtro «Tipo de grupo»: seleciona grupos por tipo (por exemplo, dual-stack).
- Limite de aviso MEAN-Mbps: este campo está relacionado com os limites de aviso e será explicado nessa secção.
- Seletor de intervalo de tempo: mostra as últimas 24 horas (predefinição), até 3 meses.
- Seletor de métricas: as métricas a apresentar. A velocidade média é a selecionada por predefinição.

A evolução ao longo do tempo da métrica selecionada é apresentada num gráfico de linhas.
Ao clicar com o botão direito do rato num grupo da legenda do gráfico, será redirecionado para o painel desse grupo.
O intervalo de valores visível pode ser ajustado arrastando os valores máximo e mínimo para a esquerda do gráfico:

Mapas de calor e gráficos de caixa
Para facilitar a análise das métricas, apresentamo-las também sob a forma de mapas de calor e gráficos de caixa.

O mapa de calor representa uma escala de intensidade de cor que reflete o intervalo da métrica. Esta escala é apresentada à esquerda do gráfico da métrica. Quanto maior for o valor, maior será a intensidade da cor. Cada grupo tem uma linha que mostra a evolução da métrica ao longo do tempo. Clique na linha para desmarcar esse grupo ou para aceder ao painel do grupo.

A coluna «MÉDIA», à esquerda do mapa de calor, mostra o valor médio da métrica, para cada grupo, durante o período de tempo selecionado. Os grupos podem ser ordenados por esse valor médio, por ordem crescente ou decrescente.
A escala de cores é ajustável. Ao arrastar os valores mínimo e máximo no gráfico de evolução temporal, a gama de cores será centrada nesse intervalo métrico, deixando os valores abaixo e acima representados em tons mais claros e mais escuros, respetivamente. Isto ajuda a centrar a análise, ampliando esse intervalo métrico. O valor MÉDIO será ajustado ao intervalo selecionado, sendo os valores fora desse intervalo arredondados para os limites do intervalo.
Colocar o rato sobre uma célula do mapa de calor mostra o seu tempo e valor exactos.

No gráfico de caixa, é possível ver a distribuição das métricas para cada grupo durante esse período. Pode adicionar os valores mínimo e máximo e, para facilitar as comparações entre grupos, mudar do gráfico de caixa para gráficos de linhas.

Gráficos de caixa da QoE global

Cinco gráficos de caixa resumem a distribuição das seguintes métricas-chave em todos os grupos:
- MEAN-Mbps: velocidade média em Mbps.
- ASSINANTES ATIVOS: número de assinantes ativos no grupo.
- RTT-ms: latência de acesso em milissegundos (valor médio-mínimo).
- RTX: taxa de perda de pacotes em percentagem.
- CONGESTIONAMENTO: percentagem do tráfego que sofre de congestionamento.
Cada gráfico de caixa apresenta os valores máximo e mínimo, bem como os percentis intermédios, incluindo a mediana (MED).
Um limiar configurável ajuda a identificar métricas cujos valores são tão elevados que podem causar problemas na qualidade da experiência do cliente. Existem limiares para RTT-ms, RTx e CONGESTION. Por exemplo, se o limiar de RTx for definido em 1%, o gráfico de caixa irá sombrear a vermelho todos os valores entre 1% e o máximo. Para alterar o limiar, clique no seu valor e utilize a caixa de diálogo para efetuar a alteração.

Em vez de destacar a vermelho os valores acima do limiar de aviso, é possível destacar os quatro quartis por cor. Ative a opção«Colorize» no canto superior direito.

A coloração é a seguinte:
· 1.º quartil (25 % dos valores mais baixos): azul.
· 2.º quartil (acima do 1.º quartil até à mediana): verde.
· 3.º quartil (acima da mediana até ao 4.º quartil ): laranja.
· 4.º quartil (25 % dos valores mais elevados): vermelho
Note que, com exceção do MEAN-Mbps, a convenção é o oposto da utilizada noutros gráficos de caixa (1.º quartil a azul, 4.º quartila vermelho), uma vez que, no caso das métricas de QoE, quanto mais baixo for o valor, melhor (por exemplo, menor latência ou tempo de resposta).
Tabela de grupos de assinantes
Uma tabela contém informações detalhadas sobre todos os grupos de assinantes.

As informações apresentadas na tabela são as seguintes:
- GRUPO DE ASSINANTES: o nome do grupo de assinantes. Ao clicar no nome, acede-se ao painel do grupo.
- SUBS-ACTIVE: conta o número de assinantes membros desse grupo que têm uma sessão ativa no servidor BQN. Ao clicar nesta opção, é redirecionado para a página «QoE do Assinante» filtrada por este grupo de assinantes, onde é possível consultar as métricas de cada membro do grupo individualmente.
- FL-ACTIVE: número de fluxos activos que fazem parte do tráfego deste grupo.
- FL-CREATED: fluxos criados até à data pertencentes a este grupo de assinantes.
- LIM-Mbps: limite do débito definido nessa direção, em Mbps (n/a se não for definido qualquer limite).
- RATE-POLICY: nome da política de débito que está a ser aplicada a este grupo (n/a se não houver política definida). A definição da política é a que estabelece o limite indicado em LIM-Mbps.
- MBYTES: volume total de tráfego deste grupo de assinantes até à data, em megabytes.
- CURR-Mbps: velocidade actual em Mbps.
- MEAN-Mbps: velocidade média móvel em Mbps (calculada a cada 10 minutos).
- RTT-ms: média móvel da latência em milissegundos. Se for selecionada a direção de ligação descendente, a latência apresentada é do lado do acesso (em direção aos assinantes). Se for selecionada a direção de ligação ascendente, é mostrada a latência do lado da Internet.
- RTX: a média móvel da percentagem de retransmissões TCP (diretamente relacionada com as perdas de pacotes). Se for selecionada a direção de descida, a retransmissão apresentada é do lado do acesso (em direção aos assinantes). Se for selecionada a direção de subida, é apresentada a retransmissão do lado da Internet.
- CONGESTIONAMENTO: média móvel da percentagem de tráfego congestionado.
- LIFETIME: duração até à data deste grupo de subscritores.
- TIPO DE GRUPO: tipo de grupo. Exemplos: local, ponto de acesso, pilha dupla, etc.
- AÇÕES: editar grupo, eliminar grupo ou aceder à página de tráfego em tempo real filtrada por este grupo de assinantes.
- Últua coluna: assinale esta caixa se pretender que estas métricas de assinantes sejam apresentadas nos gráficos.
Ao clicar no nome do grupo, acede-se ao painel do grupo.
A tabela pode ser ordenada por qualquer coluna clicando na mesma; por exemplo, clique em «RTT-ms» para apresentar primeiro os grupos com maior latência.
Pode utilizar filtros para selecionar grupos que correspondam a critérios específicos, como, por exemplo, latências dentro de um determinado intervalo (consulte a secção «Filtros de colunas da tabela» para obter mais detalhes). A caixa de pesquisa também pode ser utilizada para selecionar linhas que correspondam a um valor em qualquer coluna. Os grupos filtrados na tabela serão refletidos nos restantes gráficos da página.
É possível exportar o conteúdo da tabela para um ficheiro CSV.
Pode selecionar os primeiros 25 grupos por predefinição ou desmarcá-los clicando nos botões «Selecionar tudo para apresentar» e «Desmarcar tudo para apresentar », respetivamente.
Também pode representar graficamente grupos individuais, até um máximo de 50, selecionando a caixa de seleção na última coluna da tabela e aguardando alguns segundos. Desmarcar a caixa de seleção removerá esse grupo do gráfico.

Na tabela, os valores acima do limiar de alerta serão destacados a vermelho, para que os grupos afetados possam ser facilmente identificados.
Para evitar destacar grupos que estão simplesmente inativos, é aplicado um limiar à velocidade média (limiar de aviso MEAN-Mbps, na parte superior da página). Se um grupo não atingir, pelo menos, essa velocidade média, não receberá uma pontuação de aviso e não será destacado. O limiar pode ser alterado, mas, em geral, isso não é necessário.
Se acedeu à página de métricas de QoE do grupo a partir de um painel de controlo do assinante (clicando em «Ver grupos de assinantes» no painel de controlo do assinante), as métricas do assinante serão apresentadas juntamente com as métricas dos grupos dos quais este faz parte:

Painel de controlo do grupo de assinantes
Se clicar no nome de um grupo de assinantes na página QoE do grupo de assinantes, será apresentado um painel de controlo do grupo de assinantes.
Para ver as métricas detalhadas de cada membro do grupo, clique em See main subscriber in group (Ver assinante principal no grupo ) para aceder à página Subscriber QoE metrics (Métricas de QoE do assinante) filtrada por este grupo de assinantes.
Para ver a definição do grupo de assinantes e/ou efetuar alterações, clique em Editar grupo de assinantes.
O dashboad mostra a evolução temporal ao longo do período selecionado das seguintes métricas do grupo de assinantes:
- Velocidades médias de ligação descendente e ascendente.
- Movimentos criados e movimentos activos.
- Latências de acesso do grupo (média dos valores mínimos, mediana e percentil80).
- Retransmissão de acesso médio do grupo e retransmissões de acesso à rede.
- Percentagem de tráfego congestionado.
- Membros subscritores activos ao longo do tempo.


Contém também gráficos de dispersão com a relação entre a velocidade média e as medições de latência, retransmissão e congestionamento. Uma linha vermelha mostra a possível correlação entre os dois. Estes gráficos ajudam a identificar as velocidades em que outras métricas de QdE se podem deteriorar (e talvez atenuá-las limitando a velocidade global desse grupo).

Se colocar o rato em cima de um ponto do gráfico, uma dica de ferramenta apresentará o seu valor exato. As dicas de ferramentas nos outros gráficos no mesmo ponto no tempo mostrarão os outros valores métricos.
O painel de controlo contém igualmente um gráfico com a evolução temporal dos serviços DPI do grupo.

São apresentadas as distribuições da velocidade e das latências das aplicações, bem como a sua evolução temporal.


Finalmente, são fornecidas métricas de otimização do TCP.

Se as métricas ultrapassarem os valores limite de aviso configurados na página de métricas de QoE, a área do gráfico é destacada. Os gráficos com destaque de aviso são: latência média-mínima ao longo do tempo, retransmissões ao longo do tempo, congestionamento ao longo do tempo, latência média-mínima vs. velocidade, retransmissão vs. velocidade e congestionamento vs. velocidade. A captura de ecrã seguinte mostra um exemplo:

Para ocultar o destaque, desative a opção Limiar de aviso de colorização.
Modo em direto do grupo de assinantes
No painel de controlo do grupo de assinantes, existe um ícone do modo Live para acompanhar de perto o modo de um grupo de assinantes. Clique nele e aparecerá uma página com a evolução das velocidades dos principais membros do grupo e algumas informações adicionais.
Um filtro no topo da página seleciona a informação a mostrar:
- Downlink e Uplink: velocidade média do downlink e do uplink.
- Downlink & LAT & RTX: velocidades de downlink e latência média de grupo e retransmissão.
- Uplink & LAT & RTX: velocidades de uplink e latência média de grupo e retransmissão.
É possível identificar os membros por IP ou ID de subscritor.
Pode ser apresentado um período de tempo máximo (último número de minutos). Isto é configurável para 2, 5 ou 10 minutos. Quando o intervalo de tempo for atingido, por exemplo, após 5 minutos, os gráficos continuarão a ser actualizados, mostrando a janela dos últimos cinco minutos.
Um seletor de nome de grupo pode mudar a vista do modo em direto para outro grupo. Pode escrever partes do nome do grupo para o localizar mais facilmente no seletor.

Exportação de registos DPI
O produto Bequant BQN gera informação DPI para o tráfego que o atravessa, permitindo identificar a composição desse tráfego em termos de serviços e aplicações. As informações podem ser visualizadas na interface gráfica do produto BQN. Para facilitar a exportação dessas informações para processamento por sistemas de relatórios externos, este documento descreve o comando shell do BQN que permite isso. O comando aqui descrito está disponível a partir da versão R4.21.3.
Sintaxe do comando
Exemplo:
Registos da DPI de14 de abril de 2024:
Formato de saída
O comando devolve uma linha por registo, com os campos de cada registo separados pelo carácter escolhido. Por exemplo:
A primeira linha é o cabeçalho. Os campos são os seguintes:
Quando ; ou , são utilizados como separadores, os campos SUBSCRIBER-ID, DOMAIN e DPI são colocados entre aspas duplas. As aspas duplas dentro de qualquer um desses campos são escapadas com aspas duplas (" é ""), seguindo a recomendação do RFC4180.
Invocação
O comando é invocado a partir da shell BQN (não a partir da shell Linux do servidor BQN). É suficiente um utilizador com perfil de operador. Por exemplo:
O comando pode ser invocado remotamente utilizando o ssh:
E também redirecionar a saída para um ficheiro local:
Recomenda-se que a consulta seja efectuada uma vez por dia, em alturas de pouco tráfego:
Importação
Os ficheiros gerados pela saída do comando descrito são diretamente importáveis por ferramentas que aceitam a norma CSV (por exemplo, MSExcel).
Todos os registos estão marcados com a sua data e hora de geração e aderem ao período solicitado, mas não é garantido que sejam devolvidos por ordem de data (a razão é que a informação é obtida de várias fontes, o que pode alterar a ordem). Por conseguinte, se pretender efetuar uma análise temporal dentro do período solicitado, os registos devem ser ordenados por data depois de importados para a ferramenta de elaboração de relatórios.
Lorem ipsum dolor sit amet, consectetur adipiscing elit. Suspendisse varius enim in eros elementum tristique. Duis cursus, mi quis viverra ornare, eros dolor interdum nulla, ut commodo diam libero vitae erat. Aenean faucibus nibh et justo cursus id rutrum lorem imperdiet. Nunc ut sem vitae risus tristique posuere.
Lorem ipsum dolor sit amet, consectetur adipiscing elit. Suspendisse varius enim in eros elementum tristique. Duis cursus, mi quis viverra ornare, eros dolor interdum nulla, ut commodo diam libero vitae erat. Aenean faucibus nibh et justo cursus id rutrum lorem imperdiet. Nunc ut sem vitae risus tristique posuere.
Lorem ipsum dolor sit amet, consectetur adipiscing elit. Suspendisse varius enim in eros elementum tristique. Duis cursus, mi quis viverra ornare, eros dolor interdum nulla, ut commodo diam libero vitae erat. Aenean faucibus nibh et justo cursus id rutrum lorem imperdiet. Nunc ut sem vitae risus tristique posuere.